Contactez-nous

Fiscalisation d'association: to P or not to P ? (1ère partie)

Fiche expert

N°8.1 | octobre 2016
De longue date, le monde culturel et le monde associatif ont partagé des chemins communs.
Ainsi, il n’est pas rare de trouver sous forme associative, une compagnie de théâtre, de danse, un organisateur de festival….
Mais, au fil des années, ce couple qui s’entendait si bien, a vu naître producteurs, tourneurs, maisons d’édition de livres, consultants, vrai/faux managers….
Le Gouvernement n’étant pas à la noce du point de vue des recettes fiscales et sociales qu’il voyait passer sous son nez, a prononcé le divorce en 1996 par une loi sur la fiscalisation des associations, révisée en dernier lieu en 2006.

Fiscalisation d'association: to P or not to P ? (1ère partie)

Pour ne pas se retrouver sous le coup d’une infraction fiscale et sociale, le créateur qui se lance dans la création d’une association, doit désormais se demander s’il faut fiscaliser son association.

Après un rappel bref de la définition, de la création et du fonctionnement d’une association, nous étudierons les modalités de l’assujettissement à la fiscalité dès la création ou ultérieurement.
Nous dresserons le panorama des obligations et contraintes qui découlent de ce changement. Enfin, en conclusion, nous verrons par des exemples chiffrés l’opportunité ou non d’une fiscalisation.

I. Qu’est-ce qu’une association ?

L’association est une convention par laquelle deux ou plusieurs personnes morales ou physiques mettent en commun, d’une façon permanente, leurs connaissances ou leurs activités dans un but autre que de partager les bénéfices. (art 1 de la loi du 1 er juillet 1901).

Il est facile de se rendre rendre compte, en dehors de toute notion idéologique, que les mots clefs de la définition de l’association sont « commun » et « dans but autre que partager les bénéfices »

Sans aucun doute, l’amicale des joueurs de pétanques de St-Tropez ou plus sérieusement l’association pour la promotion de la culture patoisante de la Région Nord Pas de Calais, mettent en commun des connaissances et leurs activités pour une cause autre que la recherche de bénéfices.

Mais quelle est la finalité d’une association qui produit des disques ou sollicite des artistes ?

S’agissant de l’organisation de festivals, cette question est plus tendancieuse.

II Comment crée-t-on une association ?

En premier lieu, il faut rédiger des statuts. Les organes de direction sont : un bureau comprenant au moins 2 personnes (le Président et le Trésorier). Il n y a pas de capital.

Les formalités administratives se limitent à un dépôt à la préfecture de deux exemplaires des statuts et d’un formulaire spécifique, des frais modiques pour le passage d’une annonce légale au Journal Officiel.

La personnalité morale s’acquiert dès lors qu’est réclamé auprès de l’INSEE un numéro Siret (fort utile pour les demandes de subventions, l’attribution de marchés publics ou l’emploi de personnels).

III Quelles sont les charges d’une association non fiscalisée ?

Pas de charges sociales pour le dirigeant puisqu’en principe, sa gestion désintéressée en fait un « travailleur » non rémunéré. Toutefois, il est admis qu’il puisse être légitimement rétribué pour des fonctions autres que celle de Présidence, sans que la somme mensuelle ne dépasse 3/4 du smic (il existe aussi des limites en fonction des ressources propres de l’association). La rémunération est alors un salaire classique avec les charges sociales du régime général. Lors de l’emploi de salariés, il faudra également acquitter la taxe sur les salaires.

IV Quelles sont les obligations comptables et juridiques de l’association non fiscalisée ?

Elle doit tenir bien évidemment une comptabilité selon le mode « trésorerie » qui est le reflet des mouvements de la banque propre à l’association.

En fin d’année, le Président présente au bureau un compte de résultat qui est le résumé des dépenses par nature et des recettes de l’année écoulée. Ces chiffres sont présentés au conseil d’administration et aux adhérents, accompagnés d’un budget de trésorerie pour l’année à venir. Un procès-verbal, consigné dans un registre des assemblées, vient valider l’ensemble des ces éléments. Un registre des immobilisations doit également être tenu.

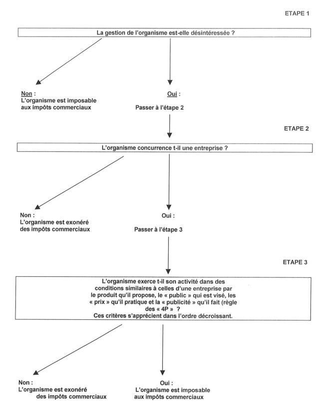
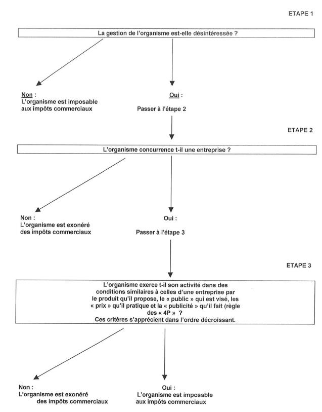
V Comment vérifier si l’association doit être fiscalisée ?

En 2006, l’Etat peaufinait sa loi sur les fiscalisations des associations en publiant une instruction 4H-5-06 n° 208 du 18 décembre 2006. Cette instruction peut être résumée de la façon suivante :

1°) Les associations dites loi de 1901 ne sont, en principe, pas soumises aux impôts commerciaux,

2°) Le caractère lucratif est déterminé au moyen d’une démarche en 3 étapes ,

3°) Cette démarche est détaillée dans le schéma ci-dessous :

schéma gestion organisme

Lire aussi :

Pourquoi travailler avec Com'Com ?

Fort d’une expérience de plus de 20 ans, Com’Com est le leader de L’EXPERTISE COMPTABLE ET RH spécialisée qui accompagne le spectacle vivant, les producteurs et éditeurs phonographiques, le cinéma et l’audiovisuel, les artistes auteurs et interprètes, les freelances, le jeu vidéo, le multimédia….

Une reconnaissance officielle de compétence spécialisée :

En décembre 2020, Eric HAINAUT, associé-fondateur, a eu l’honneur de se voir reconnaitre officiellement la compétence spécialisée en activités culturelles, créatives et artistiques par l’Ordre des Experts-Comptables d’Ile-de-France.